光エレクトロニクスの玉手箱 2014年6月号-補足
図5 利得導波型レーザーの構造例と水平方向の複素屈折率分布模式図 (a) 電極ストライプ構造 (b) 内部ストライプ構造
図6 屈折率導波型レーザーの構造例と水平方向の複素屈折率分布模式図 (a) 埋め込みヘテロ(BH)構造 (b) 選択埋め込みリッジ(SBR)構造
図12 半導体レーザーの非点隔差
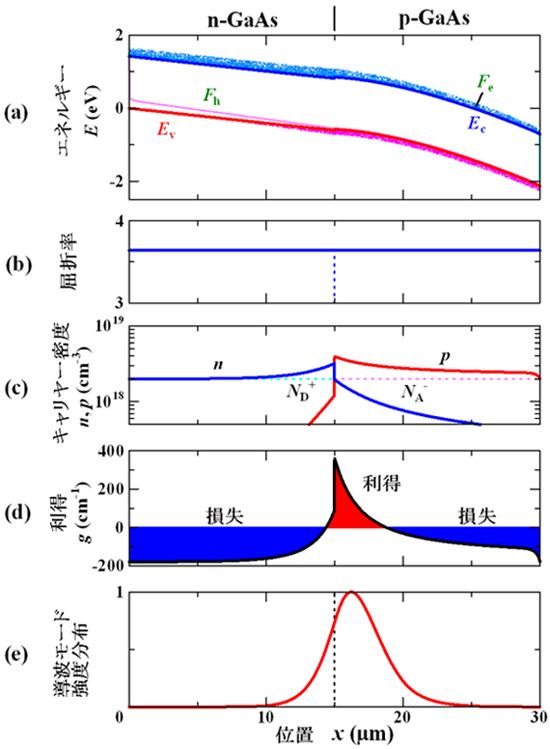
図13 pnホモ接合 (a) バンド構造, (b) 屈折率分布,(c) キャリヤー密度分布, (d) 利得分布, (e) 導波モード強度分布
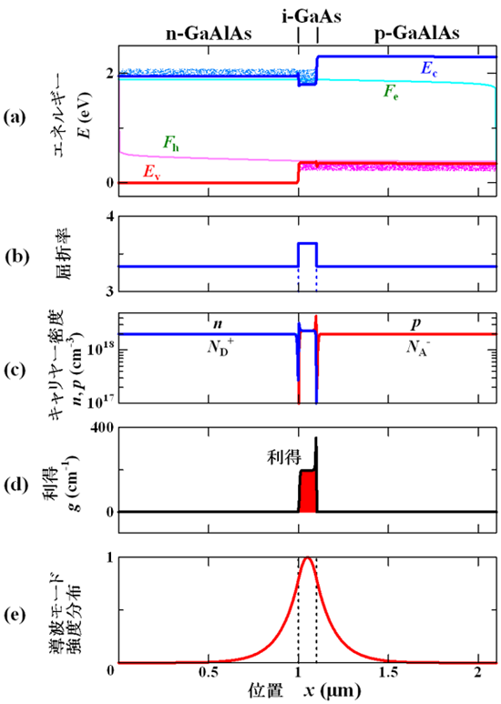
図18 2重ヘテロ構造 (a) バンド構造, (b) 屈折率分布,(c) キャリヤー密度分布, (d) 利得分布, (e) 導波モード強度分布
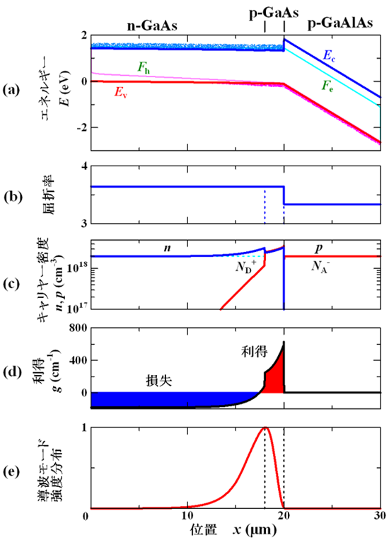
図21 半導体レーザーのシミュレーション例

(a) InGaAlP系赤色半導体レーザー

(b) InGaN系青色半導体レーザー
図24 GaAlAs系,InGaAlP系で典型的な導波構造












