光エレクトロニクスの玉手箱 2014年1月号-補足
図4 pn接合における電子とホールの分布と再結合
図5 単一ヘテロ構造における電子とホールの分布と再結合
図6 2重ヘテロ構造におけるバンド構造
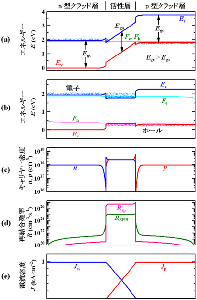
図7 2重ヘテロ構造における電子とホールの分布と再結合
図9 金属とn型半導体の接触
図10 金属とp型半導体の接触
図11 金属から半導体へのキャリヤー注入
(a) 金属からn型半導体への電子注入(b) 金属からp型半導体への電子注入
図B 左がSimon Sze 教授、右が伊賀健一,いただいたのが文献5)。
(東工大蔵前会館にて、撮影:岩井 洋教授)













